近日,新葡的京集团35222vip李升教授、施智祥教授团队在国际知名学术刊物《Materials Today》上发表了一篇题为“La2.82Sr0.18Ni2O7超导薄膜的泡利极限上临界场与各向异性拆对效应” (Pauli-limited upper critical field and anisotropic depairing effect of La2.82Sr0.18Ni2O7 superconducting thin film)的研究成果。
Ruddlesden-Popper(RP)型双层镍酸盐超导体La3Ni2O7的发现引起了广泛关注,因为其在高压条件下具有超过液氮温区的较高超导转变温度(Tc),最近,多个独立研究团队通过在SrLaAlO4衬底上生长双层RP型镍酸盐薄膜,成功在常压下实现了超导电性,标志着在探索镍酸盐非常规超导电性方面的一个重要里程碑。探测配对对称性的一种补充方法是表征上临界场(Hc2),这是一个反映超导配对强度和主导拆对机制的关键参数,上临界场也为了解关键的超导特性(包括能隙大小、相干长度、各向异性和维度)提供了依据。

李升教授、施智祥教授团队通过对高质量的La2.82Sr0.18Ni2O7薄膜开展了系统的输运研究。实验结果表明,该薄膜在正常态呈现出典型的二维电子输运行为,与二维变程跳跃模型相符合。同时,不同温度下磁阻曲线出现明显的交叉特征,暗示体系中可能存在量子格里菲斯奇异性。
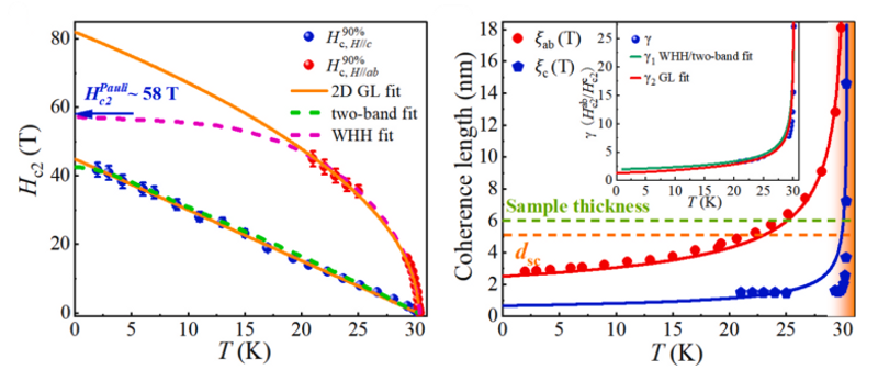
通过上临界场的系统测量,获得了沿 c轴方向相干长度随温度的演化关系。结果显示,该镍基超导薄膜在高温区域表现为二维薄膜超导,而在低温区域逐渐演化为三维体超导行为,其中高温下的二维超导特性主要来源于超导限域效应。
进一步对上临界场进行分析发现:面内上临界场可由单带 WHH 模型较好描述,而面外上临界场则更符合双带模型的拟合结果,且二者均低于泡利极限。此外,上临界场的各向异性与已报道的镍基体超导材料表现一致,从而明确了薄膜体系中高上临界场及强各向异性的物理起源。
在此基础上,本文提出镍基超导体系中可能存在一种基于自旋锁定机制的配对模型。上述结果与近期相关实验和理论研究相一致,不仅证实了该薄膜具有类体超导特性,也为理解镍基氧化物薄膜中的非常规超导机制提供了新的物理图像。
新葡的京集团35222vip博士生王珂为论文第一作者,施智祥教授和李升教授为论文通讯作者,新葡的京集团35222vip为论文的第一完成单位。该工作样品由南京大学聂越峰教授团队提供,高场测量在华中科技大学国家脉冲强磁场科学中心由朱增伟教授指导完成。
论文链接:https://doi.org/10.1016/j.mattod.2026.103269
供稿:王珂
审核:苗霖
